All models presented in this page are from Cordier et al. (2002) and Cordier et al. (2003), the assumptions are:
Compared to the grids of original papers, some models have been lost, due to digital archive failure.
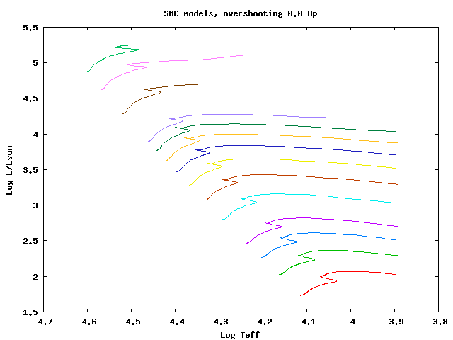
Masses: 2.2, 2.5, 3.0, 3.5, 4.0, 4.5, 5.0, 5.5, 6.0, 7.0, 8.0, 10.0 solar masses
Chemical composition: X=0.754 Y=0.245 Z=0.001
Overshooting: 0.2 Hp

To enlarge, click on the figure.
Masses: 2.5, 3.0, 5.0, 10.0 solar masses
Chemical composition: X=0.754 Y=0.245 Z=0.001
Overshooting: 0.4 Hp

To enlarge, click on the figure.
Masses: 2.5, 3.0, 3.5, 4.0, 4.5, 5.0, 5.5, 6.0, 7.0, 8.0, 10.0 solar masses
Chemical composition: X=0.745 Y=0.251 Z=0.004
Overshooting: 0.2 Hp

To enlarge, click on the figure.
Masses: 2.5, 3.0, 3.5, 4.0, 5.0, 6.0, 7.0, 8.0, 9.0, 10.0, 11.0, 15.0, 20.0 and 25.0.

To enlarge, click on the figure.
Masses: 2.5, 3.0, 3.5, 4.0, 5.0, 6.0, 7.0, 8.0, 9.0, 10.0 and 11.0.

To enlarge, click on the figure.
Available masses: 2.5, 3.0, 3.5, 4.0, 5.0, 6.0, 7.0, 8.0, 9.0, 10.0 and 11.0.

To enlarge, click on the figure.
Available masses: 2.5, 3.0, 3.5, 4.0, 5.0, 6.0, 7.0, 8.0, 9.0, 10.0 and 11.0.

To enlarge, click on the figure.
Available masses: 2.5, 3.0, 3.5, 4.0, 5.0, 6.0, 7.0, 8.0, 9.0, 10.0, 11.0, 15.0, 20.0 and 25.0.

To enlarge, click on the figure.
Available masses: 2.0, 2.5, 3.0, 3.25, 3.5, 3.75,4.0, 5.0, 6.0, 7.0, 8.0, 9.0, 10.0, 11.0, 15.0, 20.0 and 25.0.

To enlarge, click on the figure.
Available masses: 2.5, 3.0, 3.5, 4.0, 5.0, 6.0, 7.0, 8.0, 9.0, 10.0, 11.0, 15.0, 20.0 and 25.0.

To enlarge, click on the figure.
Available masses: 2.5, 3.0, 3.5, 4.0, 5.0, 6.0, 7.0, 8.0, 9.0, 10.0, 11.0, 15.0, 20.0 and 25.0.

To enlarge, click on the figure.
Available masses: 2.5, 3.0, 3.5, 4.0, 5.0, 6.0, 7.0, 8.0, 9.0, 10.0, 11.0, 15.0, 20.0 and 25.0.

To enlarge, click on the figure.
Available masses: 2.5, 3.0, 3.5, 4.0, 5.0, 6.0, 7.0, 8.0, 9.0, 10.0, 11.0, 15.0, 20.0 and 25.0.

To enlarge, click on the figure.
Available masses: 2.5, 3.0, 3.5, 4.0, 5.0, 6.0, 7.0, 8.0, 9.0, 10.0, 11.0, 15.0, 20.0 and 25.0.

To enlarge, click on the figure.
| Daniel Cordier, Laboratoire GSMA - Université de Reims, |
|||||
|---|---|---|---|---|---|