Aux yeux des non-scientifiques, la Physique a parfois une image austère. Sur cette page, je tente de corriger cette impression en proposant quelques expériences de physique amusante illustrées par des images et videos. La liste présentée ici n'est pas exhaustive et l'internaute pourra consulter la bibliographie citée à la fin. A ma connaissance certaines manips ne sont pas (encore) dans la littérature.
![]() |
![]() |
![]() |
![]() |
![]() |
![]() |
![]() |
![]() |
![]() |
![]() |
![]() |
![]() |
![]() |
![]() |
![]() |
![]() |
![]() |
![]() |
![]() |
![]() |
![]() |
![]() |
![]() |
![]() |
![]() |
![]() |
![]() |
![]() |
![]() |
![]() |
Toutes les images peuvent être agrandies en cliquant dessus.
L'expérience L'oiseau buveur est un jouet physique assez connu. Lorsqu'il est mis
«en marche» l'oiseau se balance sur le bord du verre (rempli d'eau) sur
lequel il est fixé. Pour faire démarrer le phénomène on doit plonger la totalité de la «tête»
de l'oiseau dans l'eau du verre. Le mouvement se poursuit très longtemps (facilement pendant
plusieurs jours).
Une vidéo de l'oiseau est disponible ici :
L'explication L'oiseau est formé de deux
réservoirs, reliés l'un à l'autre par un tube. Un liquide volatil est enfermé dans
le récipient. La «tête» de l'oiseau est enrobée d'une couche de
feutre (rouge sur le modèle d'oiseau buveur présenté ici), un «bec» permet
de faire rentrer en contact l'eau et le feutre lorsque l'oiseau bascule vers l'avant.
Lors de la mise en route, l'eau est absorbée sur le feutre et recouvre alors toute la
«tête» de l'oiseau. L'eau s'évapore en puisant une partie de la chaleur
latente de vaporisation dans le gaz contenu dans la «tête». Ce dernier
se refroidit en se contractant, le phénomène provoque une ascension de liquide dans
le tube. L'oiseau est déséquilibré et plonge vers l'avant. Par
capillarité le «bec» alimente le feutre en eau, compensant ainsi l'évaporation.
Se faisant le liquide s'est écoulé du réservoir inférieur vers la «tête»,
les volumes de gaz contenu dans ces deux parties communiquent alors et les pressions
deviennent égales. Le liquide redescend dans la partie inférieure et l'oiseau se relève.
L'eau (sur le feutre) s'évapore à nouveau et le cycle se répète tant que le niveau d'eau dans le verre est suffisamment élevé.
L'oiseau buveur est un joli exemple de machine thermique.
Les références L'oiseau buveur a fait l'objet de deux très intéressants articles dans American Journal of Physics :
Sur Internet différentes sources sont disponibles, par exemple :
L'expérience La fusée à eau est une très sympathique expérience de mécanique
des fluides. Il s'agit de remplir une bouteille de type «bouteille de soda» d'environ
une moitié d'eau et d'une moitié d'air comprimé. Les bouteilles plastiques de ce type ont la
particularité de très bien résister à une pression de plusieurs atmosphères. L'air comprimé
est obtenu au moyen d'une pompe de vélo.
En plaçant la bouteille verticalement (goulot en bas), une ouverture brusque du bouchon est suivie d'une
détente rapide de l'air produisant l'éjection de l'eau. La conservation de la quantité de mouvement
fait le reste : la fusée est propulsée dans les airs à une vitesse élevée et l'engin peut atteindre
ainsi une altitude appréciable.
![]() La valve femelle. |
![]() La base de lancement avec manomètre |
![]() Remplissage de l'engin. |
![]() Attention au départ ! |
Vidéos On propose deux vidéos de «vols» d'une fusée à eau :
Références Les fusées à eau sont très populaires, il existe une multitude de sources à leur sujet. Citons par exemple :
Remerciements Le montage et les tirs de fusée présentés sur cette page sont l'œuvre de mon excellent ami et expert en fusée à eau : Pierre Foussard.
L'expérience Les moteurs sont des sources de signaux acoustiques périodiques qui
peuvent se prêter à une analyse harmonique comme ceux produits par les instruments
de musique.
La prise de son se fait simplement avec un microphone branché sur la carte son d'un ordinateur.
Les données sont par exemple enregistrées dans des fichiers au format WAV. On peut convertir
ensuite ces fichiers dans d'autres formats, ici c'est simplement des fichiers textes qui ont
été utilisés. Ces conversions entre formats peut se faire facilement avec le logiciel
SoX. Le grand avantage des fichiers
textes est d'être lisible par un grand nombre de programmes.
Les spectres de Fourier ont été extraits grâce à un script (programme) PERL utilisant le
module FFT.pm, ce programme est disponible ici.
Une analyse pour un moteur lancé à environ 4300 tours/min (indication du compte-tours) donne le spectre
de Fourier suivant :

On distingue très nettement un pic à 145 Hz. La vitesse de rotation de 4300 tours/min traduite en fréquence
donne 72 Hz. Pour un cylindre il y a une explosion pour deux tours (deux tours correspondant à un cycle :
aspiration, compression, explosion, détente et refoulement). En moyenne on a donc une demi explosion
par tour pour un cylindre, le moteur comportant 4 cylindres déphasés de π/2 on a 2 explosions
par tour du moteur. Le pic à 145 Hz est celui de la fréquence des explosions dans le moteur, qui
est double de la fréquence de rotation. On notera que ce pic à 145 Hz est très étroit ce qui indique
un phénomène qui se répète sur une longue durée (toute la durée de l'enregistrement).
Les autres caractéristiques (très bruitées) du spectre sont beaucoup moins
facilement identifiables.
L'acoustique (dans les domaines audible et ultra-sonore) est un puissant moyen de diagnostic et d'analyse. Les écuries de Formule 1 peuvent par ce moyen obtenir des renseignements sur les moteurs des différents concurrents, le sondage ultrasonore est une technique classique de détection de défauts (fissures par exemple) dans les pièces mécaniques.
Echantillons sonores Voici quelques enregistrements :
le moteur d'une Renault Laguna à environ 4000 tours/min : moteur_Laguna_4000.wav (76 Ko), la même chose au format texte moteur_Laguna_4000.dat (2,6 Mo).
Cette expérience a fait l'objet d'une publication dans le B.U.P n° 882.
L'expérience Le balancier mystérieux (appellation personnelle) est un jouet scientifique
que je me suis procuré au Deutsches Museum de Munich.
Il est constitué d'un attelage rigide pouvant tourner autour d'un axe horizontal. La partie
basse de cet attelage contient un aimant qui au repos se trouve proche du socle
de plastique noir (voir sur cette figure).
Lorsqu'on écarte faiblement le balancier de sa position au repos, les oscillations (de petite amplitude au départ) voient leur amplitudes croître de façon très significative. L'énergie du balancier croît sans source d'énergie apparente ! Le phénomène peut être visualisé sur la vidéo suivante :
Quelle peut être la mystérieuse source d'énergie alimentant ce balancier ? Le principe de conservation de l'énergie est-il violé ? J'attends vos propositions ...
L'expérience Le «Bozo-Bozo» (appellation non-personnelle) est une tige
crantée à l'extrémité de laquelle on a disposé une hélice libre de tourner autour de l'axe
de la tige.
Lorsqu'on frotte avec une petite baguette la partie crantée de la tige, l'hélice est mise en rotation. En appliquant son doigt d'un côoté ou de l'autre (en dessous ou sur côoté) le de la tige on change le sens de rotation de l'hélice. Un exemple de manipulation est proposé dans la vidéo suivante :
L'explication du phénomène observé n'est probablement pas simple. En général on considère que la tige subit des vibrations avec une composante horizontale et une autre verticale, l'extrémité du Bozo-Bozo (où se trouve l'hélice) décrivant une ellipse. Le fait d'appliquer un doigt en dessous où latéralement sur la tige favorise une des deux composantes ce qui permet de contrôler le sens de rotation de l'hélice. Cette explication très qualitative est sans doute incomplète. En effet, pour bien faire fonctionner un «Bozo-Bozo» il faut un certain «coup de main», un (ou des) phénomène de résonance n'est pas à exclure.
L'expérience Le radiomètre de Crookes est une ampoule de verre dans laquelle on
a réalisé un vide imparfait. Un petit moulin est monté sur un dispositif permettant la
rotation autour d'un axe vertical. Les frottements sont minimisés en réduisant au minimum
les surfaces de contact mécanique. Le moulin possède quatre pales ayant chacune une face
très réfléchissante (blanche ou aluminiumisée) et l'autre noire (absorbant facilement la
lumière).
Lorsqu'on met le radiomètre au soleil ou si on l'éclaire avec une lampe à incandescence, le moulin se met à tourner. Le sens de rotation est toujours le même : ce sont les faces noires qui sont repoussées.
L'explication Ce n'est pas la pression de radiation exercée par la lumière qui provoque la rotation du système. En effet, la pression de radiation est maximale sur les surfaces les plus réfléchissantes ; si elle était impliquée cela serait les faces blanches qui seraient repoussées et le radiomètre tournerait dans le sens opposé à celui observé. C'est pourquoi il faut invoquer un autre phénomène.
La lumière solaire ou celle d'une lampe à incandescence contiennent une part importante d'infra-rouges. Ces derniers chauffent plus les faces noires que celles réfléchissantes. Les molécules du gaz résiduel frappent en permanence les pales sur leurs deux faces. Les molécules s'adsorbent (se «collent»), puis après un certain temps se désorbent (se «décollent») du moulin. Les faces noires étant plus chaudes que les blanches, les molécules se désorbant des noires repartent (en moyenne) avec une quantité de mouvement (produit de leur masse et de leur vitesse) supérieure à celle des molécules quittant les faces claires. La conservation de la quantité de mouvement implique alors que les faces sombres reculent. On a ici un phénomène qui résulte de l'effet moyen et cumulé des collisions des molécules sur les pales, cette explication appartient à ce qu'on appelle la théorie cinétique des gaz. Le premier à avoir donné une interprétation correcte du comportement du radiomètre de Crookes est le grand physicien écossais James Clerk Maxwell, par ailleurs père de la théorie de l'électromagnétisme classique et inventeur du premier procédé de photographie couleur. Le phénomène s'appelle photophorèse et il agit notamment sur les poussières inter-stellaires (comme celles qui s'échappent des comètes pour former leurs queues).
Le dispositif qui permet de mettre en évidence la pression de radiation est le radiomètre de Nichols qui n'est pas un petit moulin mais un pendule de torsion. Les premières mesures de pression de radiation ont été menées en 1901 par Nichols et Hull. La pression dans l'ampoule de ce radiomètre est beaucoup plus faible que dans celui de Crookes, Nichols et Hull notèrent que vers 16 mm de Hg (environ 2% de la pression atmosphèrique) l'effet de la pression de radiation et celui du gaz devenaient comparables.
Les vidéos Sur la première vidéo, le radiomètre est mis initialement en mouvement par l'éclairage incandescent ambiant. Lorsqu'on allume une lampe supplémentaire, à proximité immédiate du radiomètre, la rotation s'accélère très nettement, ceci bien que le faisceau soit globalement dirigé vers les faces brillantes. Après l'extinction de la lampe la radiomètre ralentit.
La deuxième vidéo montre un effet très intéressant : l'éclairage naturel (celui d'un ciel couvert) ne suffit pas à faire tourner le moulin du radiomètre. La chaleur dégagée par les mains permet de mettre en mouvement le moulin.
Références Les articles originaux de Nichols et Hull peuvent être achetés sur le site de Physical Review, voici leurs références :
L'expérience L'infra-rouge est le domaine des ondes électromagnétiques dont les longueurs
d'onde sont immédiatement supérieures à celle du domaine visible (qui est compris dans
l'intervalle 0,4 < λ < 0,8 μm). Des faisceaux infra-rouges sont utilisés dans
la vie quotidienne : télécommandes diverses, lecteurs de CD, télécommunications, ...
On peut simplement visualiser certaines sources infra-rouges avec les appareils photographiques
numériques (APN) qui ont tous des détecteurs sensibles dans le proche infra-rouge. A
l'œil on n'observe rien de particulier comme sur cette image
où la diode émettrice ne paraît pas lumineuse. L'expérience
la plus simple consiste à placer la diode émettrice d'une télécommande devant un APN, sur
l'écran on voit alors le signal du faisceau IR en appuyant sur une touche quelconque
de la télécommande.
Une observation attentive permet de remarquer les différents encodages de l'information d'une touche à l'autre. Sur la video qui est proposées ci-dessous on voit le signal obtenu pour une touche de la télécommande :
Il est à noter que certains APN sont équipés d'un filtre IR, ce qui rend ce genre de manipulation impossible. Pour les appareils sensibles dans l'IR on peut obtenir des effets intéressants en faisant des photographies dans l'infra-rouge en utilisant un filtre du commerce, voici quelques exemples :
L'expérience Il est très facile de mettre le feu à une feuille de papier en y faisant
l'image du Soleil avec une lentille convergente. Une loupe de bon diamètre (7-8 cm) est
suffisante. Les conditions d'ensoleillement doivent être bonnes (absence de nuages,
Soleil suffisamment haut dans le ciel) ; un facteur clé est le pouvoir de réflexion du papier :
une feuille parfaitement blanche ne s'enflammera jamais, l'opération sera d'autant plus facile
que le pouvoir de réflexion de papier sera faible. En effet, pour porter le matériau à 232°C
(451°F, la température à laquelle le papier commence à brûler), il est nécessaire qu'il absorbe
une portion minimale de la puissance concentrée à la surface par la loupe. Le papier journal est
bien adapté à cette manipulation, du papier complètement noirci par un moyen ou un autre
l'est encore mieux.
Vidéo de l'expérience avec un morceau de papier journal :
Référence
L'expérience On fabrique le damier en collant des morceaux de rubans Scotch
(de type transparent, l'invisible ne marche pas), les uns sur les autres, le tout
sur une lame de verre (les lames de microscope conviennent parfaitement, un support en Plexiglas
n'est pas souhaitable car le Plexiglas est biréfringent). Pour un plus grand confort d'observation on forme l'image
du damier sur un écran à l'aide d'une lentille convergente (voir figure 1 ci-dessous). On place
ensuite deux filtres polariseurs de part et d'autre du damier. En faisant tourner l'un des
polariseurs on voit apparaître des régions dont les couleurs varient. Ces différentes
zones correspondant aux différentes épaisseurs de Scotch.
![]() Figure 1 : le montage de l'expérience du damier magique |
Les photographies suivantes (toutes pouvant être agrandies en cliquant dessus) représentent ce qu'on observe pour trois orientations bien distinctes des filtres polariseurs.
|
|
|
L'explication Le Scotch (de type transparent) est biréfringent : il existe pour la lumière deux vitesses de propagation dans le volume du Scotch. En d'autre termes, le ruban présente deux indices de réfraction (d'où le nom de biréfringence). Il existe deux directions particulières appelées lignes neutres L1 et L2 perpendiculaires l'une à l'autre :
où
est l'épaisseur de Scotch traversée et
est
la différence d'indices associés aux deux types de propagation. Le polariseur placé après le damier
(appelé analyseur) permet de projeter les deux vibrations suivant une même direction (l'axe
passant de cet analyseur), il y a alors interférence des deux ondes. Sans l'analyseur l'expérience
est impossible car il n'y a pas interférence des deux ondes polarisées dans des directions
perpendiculaires.
Lorsque
les deux ondes se détruisent mutuellement. Si on envoie un faisceau
de lumière blanche sur le Scotch, certaines longueurs d'ondes seront éteintes ce qui confère
des couleurs variables aux régions correspondant à des épaisseurs de Scotch différentes. C'est
ce qui est observée dans l'expérience. On comprend intuitivement qu'en jouant sur l'orientation de
l'analyseur on projette différemment les deux composantes ce qui change la teinte finale (voir vidéos).
Vidéos de l'expérience :
Crédit Cette manipulation a été réalisée par mon collègue et ami Jimmy Roussel à l'occasion de la Journée Portes Ouvertes 2005 de l'ENSCR. Elle s'inscrit bien dans le cadre des expériences sur la polarisation de la lumière en TP de physique.
L'expérience le balancier de Newton est une expérience célèbre : plusieurs billes alignées,
les unes contre les autres, sont suspendues par un fil à un support. La taille et le nombre de billes
varient d'un modèle de balancier à l'autre, on en trouve souvent cinq ou sept. Lorsqu'on met en mouvement
n billes à une des extrémités du dispositif, en les lâchant d'une certaine hauteur,
elles viennent percuter les billes restées immobiles. On a alors le même nombre de billes mises
mouvement à l'autre extrémité du système : voir les vidéos proposées ci-dessous.
L'explication Cette expérience est très souvent citée pour illustrer les cours de mécanique, on indique alors que le phénomène s'explique par la vérification de la conservation de la quantité de mouvement et la conservation de l'énergie. Il est parfaitement exact que tous les comportements observés (au moins pendant la durée où les pertes d'énergie sont négligeables) suivent ces deux lois. Cependant dans certains cas l'application de la conservation de la quantité de mouvement et celle de l'énergie ne conduit pas à une solution unique alors que l'expérience ne montre toujours qu'une seule solution ! Il existe donc d'autres contraintes qui font que le système choisit une possibilité plutôt qu'une autre.
Pour se convaincre du problème, l'internaute pourra traiter le cas d'un balancier composé de trois billes et pour lequel une seule est initialement mise en mouvement. Toutes les billes ont la même masse et les inconnues du problème sont les trois vitesses des billes immédiatement après le choc. On a donc trois inconnues pour seulement deux équations (les deux lois de conservations). Si on en reste là, il y a indétermination. Une intéressante discussion du problème (en anglais) peut être trouvée à cet URL :
Vidéos de l'expérience :
L'expérience Les objets pleins pouvant flotter sur l'eau sont ceux qui possèdent une densité
(ou masse volumique) inférieure à celle de l'eau. Ceci est vrai seulement si on considère la
flottaison causée par la poussée d'Archimède. Pour des objets de petites tailles un autre
phénomène entre en jeu : la tension superficielle de l'eau. En effet, les propriétés d'un
liquide dans une zone proche de sa surface sont différentes de celles considérées dans des régions
plus internes. On a apparition de phénomènes dits de tension superficielle, ils sont causés par
l'anisotropie des interactions entre molécules dans une couche très fine sous la surface libre du liquide.
La grandeur physique caractéristique associée à ces propriétés est la tension superficielle qui est
homogène à une force par unité de longueur (ce qui est aussi une énergie par unité de surface).
Un objet qui ne pénètre pas trop profondément dans l'eau va donc subir une force qui est de l'ordre de la longueur de la ligne de flottaison multipliée par la tension superficielle (environ 50 mN.m-1) ce qui permet de maintenir en équilibre une masse de quelques dixièmes de gramme. On peut donc faire flotter à la surface de l'eau des objets en acier plein comme les aiguilles. Il faut bien sûr veiller à ne pas traverser la couche superficielle, en conséquence de quoi l'objet coule.
Déposer une aiguille à la surface de l'eau est une opération délicate, on aura grand intérêt à se fabriquer un instrument dédié à cette tâche comme celui représenté sur la photo ci-dessous. Ici il s'agit d'un morceau de fil électrique dénudé et tordu de façon adéquate.
Vidéo de l'expérience : ce petit film montre le dépôt d'un aiguille d'acier à la surface de l'eau, on remarquera la relative stabilité du phénomène (même si on agite raisonnablement l'eau, l'aiguille flotte toujours).
Références :
L'expérience Si on fait traverser un faisceau de lumière blanche dans du lait assez dilué on observe
deux choses : d'une part la lumière émergeant du système est fortement orangée, d'autre part la lumière
diffusée latéralement est bleutée.
L'explication Excitées par la lumière incidente, les molécules du lait se comportent comme des dipôles oscillants. On montre dans le cadre de la théorie Maxwellienne de l'électromagnétisme que ces dipôles diffusent l'énergie lumineuse (les photons) suivant une loi où la puissance diffusée est proportionnelle à 1/&lambda4, ce phénomène porte le nom de diffusion de Rayleigh. Les plus petites longueurs d'onde (qui correspondent à la partie bleue du spectre visible) sont les plus diffusées alors que les plus grandes (l'orange, le rouge) sont transmises, ce qui explique les observations.
On a un phénomène similaire dans le ciel : le bleu est expliqué comme la diffusion de la lumière du Soleil par les molécules de l'air, l'observation directe des couchers/levers de Soleil montre la lumière transmise plutôt rouge. On notera que c'est l'importante épaisseur d'air traversé lors des couchers/levers qui rend le phénomène plus visibles à ces moments de la journées.

Cette diffusion est aussi observable avec la Lune. Sur les photos suivantes, la Lune est de teinte orangée lors de son levé. Quelques heures plus tard, sa lumière est beaucoup plus froide avec cette tonalité cendrée qu'on lui connaît bien.

La diffusion de Rayleigh est présente dans de nombreux autres phénomènes, par exemple : elle est responsable d'une partie de l'atténuation dans les fibres optiques et explique la couleur légèrement bleue des fumées (comme la fumée de cigarette).
L'expérience Lorsqu'on fait tomber un petit aimant à l'intérieur d'un tube de cuivre, le temps
de chute observé est bien supérieur à un temps de chute libre dans l'air. Avec un aimant au néodyme
(un des matériaux les plus fortement magnétisable) on obtient des temps de chute de l'ordre de
7 secondes sur un mètre, ce qui est bien supérieur au temps de chute libre qui est de l'ordre
d'une demi seconde sur une telle distance.
L'explication La passage de l'aimant engendre des courants induits dans la masse du tube de cuivre, on les appelle courants de Foucault. En vertu de la loi de Lenz, les courants induits s'opposent à la cause qui leur a donné naissance : ici la chute de l'aimant. Les courants de Foucault sont donc tels qu'une force de freinage est subie par l'aimant. Si on fait l'expérience avec un tube qui n'est pas fait avec un matériau conducteur de l'électricité, le temps de chute est celui usuellement constaté pour une chute libre.
Vidéo de l'expérience L'expérience est aussi amusante que spectaculaire. On montre sur la vidéo téléchargeable que le cuivre n'est pas un matériau magnétique et on mesure un temps de chute dans le tube de l'ordre de 7 secondes. On peut amplifier ce phénomène de freinage en emboîtant des tubes de cuivre de différents diamètres les uns dans les autres.
Crédit et références Cette expérience est encore peu connue en France, c'est mon collègue J. Roussel qui m'a permis de la découvrir au travers d'un article de notre collègue Jean-Christophe Filloux du lycée Camille Guérin de Poitiers dans le Bulletin de l'Union de Physiciens.
L'observation Que ce soit un canard ou un bateau, un objet se déplaçant à la surface de l'eau produit
un «sillage» à partir du moment où sa vitesse dépasse celle des vagues (la vitesse
des ondes de gravitation à la surface de l'eau). Curieusement l'angle α entre les deux bords
du sillage (voir cette image) est une constante :
sa valeur ne dépend pas de la vitesse du bateau/canard.
L'explication En eau dite «profonde» la vitesse des vagues dépend de la longueur d'onde via une loi du type :
La technologie Sur nos CDs (Compact Disk) l'information est stockées sous forme de
0 et de 1, ceci quelque soit la nature du signal : musique, programmes informatiques, textes, ...
En lecture le CD reçoit sur sa surface un faisceau lumineux (produit par une diode LASER), les
photons sont ensuite réfléchis (ou non) vers un détecteur photosensible.
Les CD pressés et les CD gravés Si le principe de fonctionnement des CDs est très
souvent décrit, on a moins souvent l'occasion de voir sous quelle forme physique les
informations sont stockées. On distingue deux catégories : les CDs pressés (typiquement ceux
vendus dans le commerce : musique, jeux vidéo, logiciels, etc) et les CDs gravés réalisés par
les particuliers (en général grâce à leur ordinateur).
Les CDs pressés le sont en usine : une feuille de métal (donc réfléchissante) est emboutie
par un moyen mécanique, on obtient ainsi des trous et des bosses. Les CDs «gravés»
contiennent une couche sensible à la chaleur. Au passage d'un faisceau LASER dix fois plus
intense que celui utilisé en lecture, cette couche est «brûlée» (en fait se déforme), on
obtient alors une suite de trous et de bosses similaires à ceux des CDs pressés.
Des images spectaculaires de surfaces de CDs ont été réalisées par Philippe Caroff de l'INSA
de Rennes (figure (a) et (b)). Ces images ont été acquises grâce à un microscope à
force atomique (en anglais A.F.M. pour Atomic Force Microscope) dont le principe est
de mesurer la force exercée par la surface étudiée sur la pointe d'une sonde se déplaçant
au dessus de l'échantillon. Ce type d'instrument permet d'aller jusqu'à la résolution
ultime à laquelle on voit les atomes.

La différence entre pressage et gravage est bien visible sur les clichés : les bosses présentes sur la figure (a) (CD pressé) sont bien plus «propres» que celles qu'on observe sur la figure (b) (CD gravé). Dans les deux cas «l'altitude» moyenne des bosses est comprise entre 100 et 200 nm (1 nm = 10-9 mètre). Une trop mauvaise définition des bosses sur un CD gravé (causée par exemple par un enregistrement trop rapide) peut entraîner l'illisibilité des informations. La tenue dans le temps des CDs gravés est aussi nettement moins bonne que celle des CDs pressés ce qui pose le problème de la pérennité des données.
Les microscopes à force atomique sont des appareils réservés (pour le moment) aux laboratoires, on peut cependant voir les «sillons» d'un CD avec un microscope optique courant (un objectif 40x est suffisant). Comme pour la manipulation faite avec un AFM, il est absolument nécessaire de casser le CD et de prélever une portion de la pellicule réfléchissante.
La série de photographies qui suit montre l'expérience, le dernier cliché (en bas à droite) représente ce qu'on peut observer avec un objectif 40X. Les «sillons» sont bien visibles, l'encodage de l'information sous forme de bosses ne l'est cependant pas. La distance entre deux «sillons» successifs est de l'ordre de quelques micromètres.

Références
Crédit et remerciements Je tiens à remercier particulièrement Philippe Caroff de l'INSA de Rennes pour le temps qu'il m'a accordé et les images réalisées à l'A.F.M. qu'il m'a fourni.
Observation expérimentale Au voisinage de la surface terrestre, tout objet subit
son poids, dont la principale composante est l'attraction gravitationnelle exercée
par la Terre. Lorsque, nous sommes assis sur une
chaise, nous subissons cette force qui a tendance à nous emmener vers le centre de
notre planète. L'expérience quotidienne montre bien que nous ne passons ni au travers
des chaises, ni au travers des planchers pour tomber ensuite en chute libre dans
les différentes couches géologiques. Quelle est la nature de la force qui s'oppose en
permanence à notre poids ?
Une force contraire à la gravitation La réponse qui vient sans doute immédiatement
à l'esprit est «la réaction du support» (en l'occurrence la chaise),
mais celle-ci n'est pas une interaction fondamentale comme peut l'être l'interaction
forte, la faible ou l'interaction électromagnétique.
«La réaction du support» a son origine au niveau microscopique : les
couches externes des nuages électroniques des atomes du fond de culotte de la personne assise et
ceux des parties de la chaise en contact direct se repoussent fortement sous l'effet de
l'interaction électromagnétique, interdisant ainsi la pénétration dans la chaise.
Peut-on construire un dispositif anti-gravitationnel qui annulerait l'effet de notre poids ? Dans l'état actuel de la physique : non ! Le dispositif s'approchant le plus de ce type de système reste ... une chaise (voir photo).
L'observation L'atmosphère est le siège de phénomènes électromagnétiques, les plus courants --et
certainement les plus remarquables-- sont les orages. Les éclairs jaillissent aussi bien entre les
nuages et la terre qu'à l'intérieur même des cellules orageuses, comme on peut le voir sur la photo
ci-contre (cliquer pour l'agrandir). Ces éclairs surviennent lorsque le champ électrique local a une
valeur supérieure à celle du champ disruptif ; valeur à partir de laquelle l'air devient conducteur.
L'intensité du courant circulant dans les éclairs est énorme : son maximum est de l'ordre de
10 000 A (ampères) ; pour une charge totale échangée de plusieurs dizaines de coulombs.
Quel processus physique est à l'origine des forts champs électriques générant les éclairs ?
L'explication Pour avoir un champ électrique il faut avoir présence de charges électriques. Si on fait l'hypothèse que le volume d'atmosphère (quelques kilomètres cubes) qui va être le siège d'un orage est au départ électriquement neutre, la création de champs électriques implique l'apparition de charges positives accumulées à un endroit de la cellule orageuse, avec en contrepartie une (ou des) région(s) contenant des charges négatives. Il existe donc un processus de séparation de charge. Celui-ci est encore relativement mal connu, plusieurs mécanismes ont été proposés, nous allons en décrire très brièvement un : celui proposé par C.T.R. Wilson en 1929.
Ce modèle suppose l'existence de plusieurs choses :

Il y a apparition de charges + dans le bas et de charges - sur la partie supérieure. Lors de la chute de la goutte dans l'air, les ions positifs sont repoussé par l'avant de la goutte et ne peuvent se fixer sur l'arrière en raison de l'écoulement aérodynamique. Les ions négatifs se fixent facilement sur la goutte, celle-ci devient alors progressivement négative au cours de sa chute.
Ainsi des charges négatives sont entraînées vers le bas du nuage, alors que les parties le plus élevées se chargent négativement. Ce mécanisme est en accord qualitatif avec la répartition de charges observée dans les nuages et qu'on peut représenter très schématiquement comme ceci :

Le résultat du phénomène de séparation de charge n'est pas dichotomique, souvent de petites régions chargées négativement subsistent dans le bas des nuages (ce qu'on a sur le dessin). Cette singularité ne semble pas bien comprise. Ces répartitions de charges génèrent des différences de potentiel (et donc des champs électriques) énormes, pouvant aller jusqu'à des tensions de 100 millions de volts entre le nuage et la Terre. Des éclairs peuvent alors éclater, alimentant globalement la Terre en charges négatives (dans le bas des nuages les charges positives restent minoritaires.
La conséquence globales des orages est de charger négativement la Terre et positivement la haute atmosphère (vers 50 000 mètres) où les charges positives du sommet des cellules orageuses sont emportées par le vent.
Même par temps sec, nous nous trouvons entre les armatures d'un gigantesque condensateurs. La différence de potentiel entre le sol et la haute atmosphère est de l'ordre de 400 000 volts. Il existe un courant de fuite de ce condensateur (de l'ordre de 10-12 A.m-2, ce qui représente environ 1 800 A pour l'ensemble du système). Sans les orages le condensateur se déchargerait, comme on l'a vu ce sont eux qui génèrent --en moyenne-- un courant de 1 800 A de la Terre vers la haute atmosphère. L'origine des orages se trouve dans la convection déclenchée par le rayonnement solaire.
Globalement l'atmosphère terrestre est une énorme machine hydro-thermo-électrodynamique qui transforme l'énergie solaire en --entre autre-- énergie électrique.
Références
L'observation Bon nombre d'insectes, mais aussi des poissons, des oiseaux ... présentent de très
vives couleurs à l'aspect «métallique». Ces couleurs dépendent de l'angle d'incidence de la lumière et
de l'indice de réfraction du milieu dans lequel est plongé l'animal.
La photo ci-contre a été prise avec une source de lumière étendue : des rayons lumineux arrivent sur le papillon depuis presque tous les angles d'incidence. Les deux ailes ont alors une coloration identique : un joli bleu très intense. Le spécimen présenté ici est un morpho aega originaire du Brésil.
Ci-dessous, le même papillon a été photographié avec un éclairage différent, formé par un faisceau de lumière pratiquement parallèle. La source de lumière est placée sur la gauche, cette fois seule l'aile de droite est bleue, sa coloration est moins uniforme que sur l'image précédente. L'aile de gauche est marron (quelques points bleus peuvent cependant être observés sur l'image agrandie).

Comme les plans des ailes du papillon forme un V, l'angle d'incidence de la lumière n'est pas le même sur chaque aile.
Comme noté plus haut, les papillons ne sont pas les seuls êtres vivants présentant des couleurs iridescentes, ci-dessous on a l'exemple d'un canard colvert portant une jolie parure d'un vert iridescent :

L'explication Ces couleurs sont particulières car elles ont une origine physique : elles sont engendrées par des phénomènes d'interférence et de diffraction, ce qu'on appelle l'iridescence. Il ne s'agit pas de couleurs pigmentaires créées par une absorption/réflexion d'une partie du spectre lumineux. L'iridescence est répandue dans le règne animal, en particulier chez les insectes. Parmi ceux-ci, une famille de papillons sud-américain : les morphos, présentent une iridescence très marquées. L'animation accessible dans l'encart bleu ci-dessous, permet de percevoir cette effet lors de la rotation du papillon autour de son axe de symétrie, la source de lumière restant inchangée (la source étendue déjà mentionnée).
| Animation En cliquant sur l'image suivante, vous pourrez télécharger une animation GIF,
ceci grâce à un script Java ouvrant une fenêtre pop-up.
Cette animation montre l'aspect d'un morpho aega sous différents angles d'observation,
la lumière provenant d'une source étendue située au niveau de l'appareil photo. Taille de cette animation : 2,21 Mo |
|
| Les internautes ayant un problème avec Java peuvent utiliser ce lien : animation morpho. |
Les papillons constituent l'ordre des lépidoptères, mot venant du grec lepidos (écailles) et Ptéris (ailes). Ce sont des animaux dont les ailes sont recouvertes d'écailles. Ces dernières sont très facilement visibles sous un microscope optique. La série d'images ci-dessous montre trois clichés d'une aile de morpho aega sous différents grossissements.
[cliquer pour agrandir] Objectif : x4 |
[cliquer pour agrandir] Objectif : x10 |
[cliquer pour agrandir] Objectif : x40 |
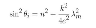
Sur la première photographie on remarque l'embranchement entre deux nervures, sur les deux dernières on peut voir (ou deviner) des stries à la surfaces des écailles, ceci dans une direction parallèle à l'axe de l'écaille. Les dimensions d'une écaille sont de l'ordre de 110 μm X 60 μm (1 μm = 10-6 m = un millionième de mètre). La structure des stries n'est accessible qu'au microscope électronique, elle est très variable d'une espèce de papillon à l'autre. La série d'images qui suit, réalisée au Microscope Electronique à Balayage par Joseph Le Lannic du CMEBA, montre les écailles bleues du morpho présenté sur cette page.
Sur l'image 3 on voit des lamelles disposées le long des stries, se chevauchant en plus ou moins grande partie. Chacune de ces lamelles a le comportement optique d'une lame mince à faces parallèles :
Les rayons lumineux réfléchis (2) et (3), issus d'une même incidence θi, interfèrent. La longueur d'onde du maximum de réflexion vérifie la relation :
Où n est l'indice de réfraction du milieu considéré, k un entier, e l'épaisseur de la lame. λm est la longueur d'onde pour laquelle on a un maximum d'intensité des interférences constructives. Si on avait une seule lame mince sur les écailles, les ailes des papillons seraient globalement peu réfléchissantes (cœfficient de moins de 10%). Le chevauchement des lamelles les unes sur les autres crée une sorte de mille-feuille, augmentant le pouvoir de réflexion global de chaque écaille, et donc des ailes. C'est ce phénomène d'interférence dans une lame mince qui génère la couleur des ailes, au moins chez les morphos (en général plusieurs phénomènes apportent leurs contribution : pigmentation, diffusion, ...).
Comme le montre la formule, si on en reste uniquement au phénomène d'interférence : il faut que la lumière arrive sur le papillon dans une direction donnée pour qu'on puisse voir une couleur donnée. Or, il est important pour le papillon d'être visible de la même façon dans plusieurs directions. La dispersion spatiale est assurée par le phénomène de diffraction. En effet une écaille se comporte comme un réseau diffractant à double périodicité : les stries sont rangées régulièrement et parallèlement, le long de chaque strie les lames sont arrangées périodiquement.
La couleur ou plutôt le signal optique généré par le morpho est le fruit d'un phénomène d'interférence dans des lames minces et d'une diffraction par un réseau à deux dimensions. La création des couleurs dans le vivant et plus particulièrement dans le règne animal est un phénomène très complexe. L'internaute désirant aller plus loin est renvoyé à la lecture du livre de Serge Berthier cité en référence.
L'écaille d'une aile de morpho est équivalente à un cristal photonique, système artificiel. Les cristaux photoniques sont étudiés dans certains laboratoires. Des applications sont envisagées, par exemple les fibres optiques microstructurées (voir l'article de D. Felbacq en référence).
Les propriétés optiques des ailes de papillons sont étudiées en laboratoire, par exemple au Laboratoire d'Optique des Solides de l'Université Pierre et Marie Curie à Paris. Ces systèmes ont également d'autres aspects physiques intéressants : leur aérodynamisme ainsi que les échanges énergétiques qu'ils peuvent avoir avec le milieu environnant.
Les papillons sont des être merveilleux à plus d'un titre, ils sont cependant en régression ou même en voie de disparition dans de nombreuses régions du globe. Les causes premières de ce phénomène sont d'une part la destruction de leur habitat et l'usage d'insecticide en agriculture d'autre part. Hormis la piéride du choux, il n'est pas rare de ne voir pratiquement aucun papillon lors d'une promenade dans la campagne française. Que les fanatiques de la tondeuse et de la débrousailleuse sachent bien qu'ils détruisent l'habitat de nombreux insectes à chaque usage de leurs engins. Quelques mètres carrés de friche recèlent des trésors pour qui sait y prêter attention !
Un clip vidéo de morphos en vol dans une ferme aux papillons :
Pour finir voici une image d'un morpho en vol dans son milieu naturel : le parc national Amboro en Bolivie :

Références
Remerciements et crédits Les images au Microscope Electronique à Balayage de cette page sont dues à la gentillesse et à la grande compétence de Joseph Le Lannic du CMEBA de l'Université de Rennes 1.
L'observation Au cours des différents épisodes de la saga cinématographique Star Wars,
les personnages principaux se battent à l'aide de sabres LASER (Light Saber dans la version
originale). On peut légitimement s'interroger sur les possibilités physiques de réaliser une arme de ce genre.
Nous allons passer en revue plusieurs hypothèses en se concentrant exclusivement sur la qualité de sabre, on
envisagera ensuite l'aspect énergétique d'un tel système.
Hypothèse 1 : les light sabers sont réellement des faisceaux LASER C'est la première idée qui vient à l'esprit car la plus évidente ; cependant plusieurs problèmes font qu'on ne peut pas construire un sabre de ce type. En effet, un faisceau LASER --tout comme un faisceau lumineux quelconque-- n'est pas limité dans l'espace à moins de rencontrer un obstacle. Pour réaliser un tube de lumière d'environ un mètre de long il faudrait donc disposer un miroir à cette distance de la poignée. L'existence de ce miroir implique celle d'un support (un tige métallique par exemple) entre la poignée et le miroir, les combats se faisant avec les supports et pas avec la lumière. Finalement et contrairement à ce qu'on peut voir dans les films, le faisceau LASER n'émet pas (ou très peu) de lumière latéralement, la lame serait donc invisible !
Hypothèse 2 : plasma confiné magnétiquement Un plasma est un gaz partiellement ou totalement ionisé, la quasi-totalité de la matière visible de l'Univers est sous cette forme : les étoiles sont principalement formées d'un plasma d'hydrogène et d'hélium. Plus proche de nous, la haute atmosphère (l'ionosphère, vers 60 km d'altitude) est composée d'un plasma, les tubes fluorescents et les écrans dits plasma contiennent également un gaz ionisé. On qualifie souvent l'état plasma de quatrième état de la matière.
Si on applique un champ magnétique à un plasma parcouru par un courant, il y a apparition de forces de Laplace au sein du gaz. Pour certaines configurations du champ magnétique, on peut réaliser --grâce à ces forces-- un confinement du gaz dans un région donnée. L'intérêt principale est d'avoir une absence de contact avec des parois, ce qui permet d'envisager des températures très élevées. Cette technique de confinement est utilisée par les tokamaks (voir références).
On peut alors penser construire un sabre LASER à partir d'un jet de plasma sortant du manche et confiné dans un cylindre à l'aide d'un champ magnétique. Cela pose plusieurs problèmes, par exemple :
Hypothèse 3 : plasma confiné dans un récipient (principe des tubes fluorescents) Cette possibilité est technologiquement la plus simple. Cela revient à se battre avec un cylindre transparent qui doit être beaucoup plus résistante que le verre tout en restant suffisamment légère pour être manœvré à la main. Les métaux comme l'aluminium ou le titane ne conviennent par car ils sont opaques, la fibre de carbone l'est aussi. Les matériaux de la famille de la fibre de verre sont éventuellement de bons candidats. Ce n'est malheureusement pas avec ce type de sabre qu'on pourra découper une porte blindée ... à moins d'avoir un flux lumineux particulièrement énergétique sortant de la surface du sabre, ce qui pose alors le problème de la résistance de l'enveloppe à ce flux.
Hypothèse 4 : usage de la sonoluminescence La sonoluminescence est un phénomène extraordinaire qu'on peut observer lorsque l'on envoie un faisceau ultrasonore dans un liquide, de nombreuses expériences sont menées avec de l'eau. Les variations de pression liées à l'onde ultrasonore créent localement des bulles de vapeurs par cavitation (phénomène qu'on observe aussi au niveau des hélices de bateaux, pales de turbine, etc), sous l'effet de la pression ces bulles implosent brusquement, à l'intérieur la température devient très importante ce qui entraîne une production de lumière.
Malheureusement, un sabre LASER basé sur le phénomène de sono-luminescence ne fonctionnerait que sous l'eau !
Hypothèse 5 : plasma confiné gravitationnellement On peut encore envisager de confiner un plasma gravitationnellement. C'est le phénomène mis en œuvre par les étoiles. La force gravitationnelle est très faible devant les autres forces, pour qu'elle soit appréciable il faut avoir des masses très importantes. Dans le cas du sabre LASER, on pourrait imaginer de retenir un plasma autour d'un cylindre massif de faible rayon (de l'ordre du centimètre par exemple). En s'en tenant à la théorie newtonienne de la gravitation, on peut évaluer le champ gravitationnel à la surface d'un cylindre (supposé infini). Pour obtenir une valeur double de l'accélération de la pesanteur, il faut que le système soit constitué d'un matériau de masse volumique (supposée constante) de l'ordre de 1013 kg.m-3. Cette valeur reste inférieure à la masse volumique nucléaire qui est de l'ordre de 1017 kg.m-3 (masse d'un proton sur le «volume» du proton qui est de l'ordre du femtomètre cube) ; c'est plutôt rassurant : nul besoin de «tailler» l'axe du sabre dans une étoile à neutron ou un trou noir ! Il y a cependant un problème assez ... lourd ! Un axe de sabre de longueur un mètre et de rayon un centimètre pèserait autour de 5 000 tonnes ! Dans une situation comme celle-ci, il faut vraiment que la Force soit très efficace !
Hypothèse 6 : jet d'anti-matière Pourquoi ne pas fabriquer un sabre à partir d'un jet d'anti-matière ? Cette dernière s'annihilant avec la matière environnante (l'air) créerait au moins l'effet lumineux recherché. Se pose alors le problème du stockage de la réserve d'anti-matière dans le manche : comment faire pour que celui-ci (fait de matière) ne soit pas désintégré et le chevalier jedi avec ? On pourrait certes percer toutes sortes de parois, mais y aurait-il une résistance mécanique notable lors du croisement de deux sabres ?
Aspect énergétique Dans l'hypothèse où on a un dispositif physique pouvant faire office d'un bon sabre LASER (ce qui est --comme on l'a vu-- loin d'être évident), il faut encore pouvoir lui fournir de l'énergie à partir d'une alimentation dont les dimensions doivent être sensiblement celles du manche, soit quelques dizaines de centimètres cubes.
Dans certains épisodes (notamment II et III) les jedis découpent une porte blindée ou le sol avec leurs sabres. Pour réaliser ce genre de prouesse, le sabre doit débiter une quantité d'énergie par unité de temps (puissance) suffisante pour faire fondre ou même volatiser quelques centimètres cubes de métal par seconde. L'aluminium (matériau largement utilisé en astronautique) a une chaleur latente massique de fusion de 397 kJ.kg-1 (alors que celle de vaporisation s'élève à 10 500 kJ.kg-1), sa masse volumique étant de 2 700 kg.m-3. Pour faire fondre 10 cm3 d'aluminium en une seconde, il faut fournir une puissance d'environ 104 W (watts). Les systèmes portatifs (quelle serait la valeur militaire d'un sabre qu'on doit brancher au réseau EDF pour se battre ?) actuels (téléphones, ordinateurs, ...) développent des puissances de l'ordre de quelques dizaines de watts. Les moyens électrochimiques usuels (piles, accumulateurs) fournissent une puissance très largement inférieure (de plusieurs ordres de grandeur) à ce qui est nécessaire pour faire fonctionner un sabre LASER. Il reste la solution de la pile atomique : si on considère qu'on peut extraire 11,6 kW.h de 10-6 kg d'uranium, il suffirait de quelques dizaines de milligrammes pour faire fonctionner un sabre LASER pendant plusieurs dizaines d'heures. Il reste naturellement à maîtriser la production d'énergie afin d'avoir bien un pile atomique dans la main et pas une bombe atomique miniature !
Conclusion Avec les moyens et connaissances actuels, la réalisation d'un sabre LASER semble difficile, voir impossible. Cependant je me garderai bien d'être catégorique ... la Nature réservant toujours des surprises ! Pour le moment le sabre LASER reste une arme rêvée, n'est-ce pas le plus acceptable type d'arme ?
De nombreux autres éléments des films Star Wars se prêtent à une lecture avec les yeux du physicien, citons : les explosions dans l'espace (bruit et forme des projections de matière), la nature de la Force, les différents moyens de transmission et de transport, les doubles soleils, le passage dans l'hyper-espace, les boucliers et autres faisceaux capturants ou paralysants ... Quoiqu'il en soit :
Références
L'expérience On a tous un jour ou l'autre soufflé sur le goulot d'une bouteille vide.
Un son est produit, on peut en faire varier la hauteur en remplissant plus ou moins la bouteille.
Le système se comporte en fait comme un résonateur de Helmholtz (Hermann von Helmholtz est un médecin et
physicien allemand du XIXe siècle, ses contributions sont variées : acoustique, thermodynamique
(formule de Gibbs-Helmholtz), astrophysique (temps de Kelvin-Helmholtz), ...).
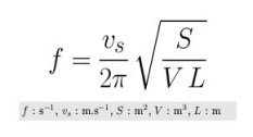
Un résonateur de Helmholtz est dans son principe une colonne de gaz ayant dans son ensemble un mouvement d'oscillation, la force de rappel est exercée par le coussin constitué du gaz contenu dans un réservoir dont le volume V (voir figure) est grand devant celui de la colonne (qui est ici S x L).
Le souffle de l'expérimentateur crée un écoulement turbulent au niveau du goulot. Une partie de l'énergie de cet écoulement entretient les oscillations du gaz. La bouteille se comporte comme un résonateur, i.e. comme un filtre mécanique passe-bande, de bande passante très étroite. En effet, elle sélectionne dans le champ des vitesses d'écoulement, les mouvements dont l'inverse du temps caractéristique est proche de la fréquence propre f du gaz contenu dans le col.
Un peu de mécanique conduit à la formule suivante :
avec vs la vitesse du son dans l'air.
Les enregistrements sonores
Le son produit avec une bouteille de bière Corona vide : corona.wav (durée 2,57 s, 224Ko, une version texte est disponible ici (3,9 Mo)). Voici le spectre de cet enregistrement (log f en abscisse) :
Un tracé de la fréquence mesurée en fonction de l'inverse de la racine carrée de L montre un écart assez important à la linéarité :
Cet écart est d'autant plus grand que le tube est long. On peut avancer une explication : plus le tube est long plus le volume d'air contenu dans ce tube devient comparable (voir plus grand) que celui contenu dans la bouteille (n'oublions pas qu'il y a dans cette série de mesures 20 cm d'eau dans la bouteille). L'internaute se ferait probablement un devoir et un plaisir de refaire ce genre d'expérience avec d'autres bouteilles, d'autres volumes d'air ou d'autres tuyaux ... ;-)
La collection de résonateurs de Helmholtz du lycée E. Zola de Rennes (cliquer pour agrandir les images) :
|
|
Références
Une simulation Java du résonateurs de Helmholtz par J-J. Rousseau de l'Université du Maine : http://www.univ-lemans.fr/enseignements/physique/02/meca/resohelm.html
L'expérience les supraconducteurs sont des matériaux dont la résistance électrique devient nulle
lorsqu'ils sont refroidis en dessous d'une certaines température critique. Les supraconducteurs qu'on
connaissaient jusqu'au début des années 80 avaient des températures critiques de l'ordre de quelques
degrés kelvin, et devaient donc être refroidis avec de l'hélium liquide. La théorie de
la supraconductivité (théorie dite BCS, des initiales des auteurs) prévoyait de plus qu'on ne pourraît
pas obtenir de supraconducteurs au-dessus d'une température de quelques dizaines de kelvins.
En 1986, au laboratoire IBM de Zurich, Karl Alexander Müller et Johannes Georg Bednorz découvrent un comportement supraconducteur pour une céramique BaLaCuO à partir d'une température aux environs de 30 K. En remplaçant La par Sr les mêmes auteurs obtiennent en 1988 un température critique de transition supérieure à 30 K : 38 K. Cet important résultat ouvre une nouvelle voie de recherche, sur laquelle de nombreuses équipes se lancent. Dès 1987 K. Wu et P. Chu ont un température critique supérieure à celle de l'azote liquide : 92 K pour le composé YBaCuO. Müller et Bednorz obtinrent le Prix Nobel de Physique en 1987, «for their important break-through in the discovery of superconductivity in ceramic materials».
Le champ d'application des supraconducteur est immense : transport d'électricité sans effet Joule (donc sans perte d'énergie), production de champs magnétiques très intenses, trains à lévitation magnétique, circuits intégrés, etc.
Une des propriétés extraordinaires des supraconducteurs est leur diamagnétisme parfait. Pour les matériaux ordinaires, le diamagnétisme est en général très faible et complètement masqué en présence de propriétés paramagnétiques ou ferromagnétiques. Dans le cas des supraconducteurs le diamagnétisme --qui est similaire à la loi de Lenz appliqué au niveau microscopique-- devient parfait dans le sens où le champ magnétique résultant à l'intérieur du matériau devient nul. Si on applique un champ magnétique Bappli au supraconducteur (à l'aide d'un aimant par exemple), ce dernier réagit en créant un champ Bsupra= -Bappli.
Si on approche un aimant d'un échantillon de supraconducteur, l'expérience est équivalente à celle où on approcherait deux aimants en mettant en regard des pôles opposés. Si l'aimant est suffisamment petit (j'ai vérifié expérimentalement qu'avec un aimant de taille comparable à la pastille d'YBaCuO l'équilibre était instable) et si le champ magnétique est suffisamment fort, la force de répulsion magnétique produite par le champ du supraconducteur sur l'aimant permet de maintenant l'aimant en lévitation à quelques millimètres au-dessus du supraconducteur. C'est le très connu effet Meissner-Ochsenfeld. Le supraconducteur de type YBaCuO permettent de faire facilement l'expérience, car ils ne nécessitent que de l'azote liquide. Cette manipulation est proposée ici sous la forme de deux vidéos.
Les vidéos
«Décollage» d'un aimant au-dessus d'une pastille d'YBaCuO, l'aimant est initialement posé sur la pastille qui est ensuite refroidie par l'azote liquide. Lorsque le supraconducteur passe sa température critique, l'aimant s'élève pour commencer à léviter :
Lévitation d'un petit aimant de néodyme au dessus d'une pastille d'YBaCuO :
On notera que l'équilibre est stable, en effet des petites pichenettes données avec la pince ne le font pas tomber.
Pour avoir lévitation on doit avoir un champ magnétique suffisamment fort, sur cette vidéo on réalise un test avec un petit aimant ordinaire (tel que ceux qui servent à tenir des gadgets sur la porte de votre frigo) :
Dans ce cas il n'y a pas de lévitation.
Références :
L'article sur la supraconductivité sur Wikipedia :
http://en.wikipedia.org/wiki/Superconductivity
Le site du laboratoire IBM de Zurich : http://www.zurich.ibm.com
http://www.unige.ch/cyberdocuments/theses2002/PasseriniR/these_body.html
le site de la Fondation Nobel :
http://nobelprize.org
L'expérience Parmi les 1000 et une expériences qu'on peut faire avec de l'azote liquide, celle
où on coule de l'azote liquide sur de l'eau est très spectaculaire. On obtient une forte ébullition
et un brouillard s'écoulant depuis le récipient.
L'explication L'azote liquide pompe à son environnement immédiat sa chaleur latente de vaporisation : de la glace se forme donc rapidement sous l'azote. A la fin de l'expérience on obtient un bloc de glace dont la taille exacte dépend de la quantité d'azote introduite. Voici par exemple ce qu'on peut avoir :
Pendant l'expérience, l'azote gazeux qui s'échappe est encore suffisamment froid pour condenser la vapeur d'eau qui se trouve dans l'air, ce qu'on voit n'est donc pas formé de gouttelettes d'azote mais d'eau ! L'écoulement est turbulent ce qui explique les volutes qu'on observe.
La vidéo
Références
L'expérience Un morceau de caoutchouc est à température ambiante
élastique : après avoir subi une déformation (compression ou étirement
par exemple, le caoutchouc peut subir des allongements relatifs de 500 %
et même de 1000 % dans certains cas !) il retrouve sa forme initiale lorsque cesse la contrainte
mécanique qu'on lui fait subir.
Ce comportement change radicalement à basse température. En effet, si on plonge un morceau de caoutchouc dans de l'azote liquide (t = -195,8°c) il devient cassant au point de pouvoir être brisé comme du verre (voir vidéo).
L'explication En refroidissant le caoutchouc avec l'azote liquide, on le fait passer à une température inférieure à sa température de transition vitreuse. Cette dernière est la température au-dessus de laquelle un polymère devient mou et souple, et au-dessous de laquelle il est dur et cassant. Le caoutchouc naturel a un température de transition vitreuse aux alentours de -50 °C bien au-dessus de la température de l'azote liquide.
Ce genre d'expérience est exploité dans l'industrie afin d'usiner des pièces en élastomère.
La vidéo
Références
L'observation Les arcs-en-ciel sont toujours un sujet d'émerveillement. Même si
quelques légendes courent encore à leur sujet, leur explication scientifique est connue depuis
très longtemps. Les conditions d'observation sont toujours similaires : des gouttes d'eau en
suspension dans l'air sont devant l'observateur, une source de lumière est en arrière de ce dernier.
Souvent les gouttes sont celles d'une pluie résiduelle après un orage, une trouée dans la couche
nuageuse apparaissant en arrière.
L'explication Les gouttes d'eau en suspension sont sphériques, la lumière qui les traverse subit deux réfractions et une réflexion. La réfraction est le phénomène physique qui se produit lorsque le lumière traverse la surface délimitant deux milieux : ici l'air et l'eau. Lors de cette traversée la lumière change de direction de propagation. L'angle dont cette direction est changée dépend de la longueur d'onde (pour faire simple : de la couleur). Pour une goutte d'eau on a la situation suivante :
La partie de la lumière subissant une deuxième réflexion à l'intérieur de la goutte produit de deuxième arc visible sur la première photographie. On parle alors d'arc du deuxième ordre. L'arc-en-ciel est un sujet très abondamment traité sur le web, pour en savoir plus on se référera aux références ci-dessous.
Le arc-en-ciel ne se produisent évidemment pas uniquement lors des averses de pluie, dès qu'on a des gouttes d'eau en suspension dans l'air on peut observer le phénomène, comme ici à proximité des célèbres chutes d'Iguazu située à la frontière entre le Brésil, l'Argentine et l'Uruguay :
Plus modestement on peut créer des arcs-en-ciel artificiels dans son jardin avec un simple jet d'eau.
Au XIXe siècle les livres ne contenaient pas (ou très peu) de photos, à la place il y avait de nombreuses gravures dont certaines étaient mises en couleur. Le livre «Les phénomènes de la physique» d'Amédée Guillemin (2ème édition, 1869) est un ouvrage de vulgarisation richement illustré. On a reproduit ci-dessous un des très jolis dessins qu'on peut trouver dans cet ouvrage (cliquer pour agrandir) :

On remarquera que l'artiste a bien respecté l'inversion des couleurs entre le premier et le deuxième ordre. Ce dernier est moins intense et semble avoir une dimension angulaire légèrement différente comme c'est le cas dans la réalité.
Références
L'expérience On trouve dans le commerce des lampes qu'il suffit d'agiter (parallèlement à son axe
pour le modèle présenté ici) pour obtenir de la lumière. La durée d'utilisation est appréciable, une fois
les ressources épuisées une nouvelle agitation permet la recharge. Il n'y a pas de source d'énergie
électrochimique comme les piles ou accumulateurs. C'est un système à énergie renouvelable, son
utilisation est limitée dans le temps seulement par l'usure mécanique et le vieillissement des composants
électroniques.
L'explication Un démontage de la lampe montre plusieurs organes : un aimant très fortement aimanté, un bobinage de fil de cuivre et un petit montage électronique avec notamment un condensateur et l'interrupteur (voir photo ci-dessous) :
Le compartiment cylindrique dans lequel est enfermé l'aimant n'autorise pour ce dernier que des mouvements suivant l'axe du bobinage. L'aimant produisant un champ magnétique non-uniforme (il est en effet d'origine dipolaire), lorsque l'on secoue la lampe les mouvements de va-et-vient de l'aimant produisent selon la loi de Faraday :
une tension induite dans le bobinage et donc un courant électrique induit. on a ici un générateur électrique qu'on pourrait appeler dynamo linéaire ; en effet les dynamos et plus généralement tous les alternateurs (y compris ceux d'EDF) fonctionnent sur le même principe mais avec des mouvements de rotation, ce qui permet une mise en uvre plus commode.
Bien sûr il n'est pas nécessaire d'agiter la lampe alors qu'on veut s'en servir pour éclairer. Le condensateur est là pour accumuler l'énergie produite lors de l'agitation.
Paul Langevin (Paris 1872 - Paris 1946) est une grande figure de la physique française et mondiale.
Excellent élève, il est admis à seize ans à l'Ecole de Physique et de Chimie Industrielle de la Ville
de Paris, seule école d'ingénieur recrutant des élèves n'ayant pas été lycéens. Suivant le conseil
de Pierre Curie, alors professeur à l'EPCI, il présente en 1894 le concours d'entrée à l'Ecole
Normale Supérieure. Après avoir été reçu au concours de l'agrégation de physique en 1897 et après avoir
obtenu une bourse, il part au laboratoire Cavendish dirigé à cette époque par J.J. Thomson. Langevin
y rencontre un autre grand nom de la physique : Ernest Rutherford. En 1902, Paul Langevin soutient
--en France-- sa thèse sur un sujet concernant l'ionisation des gaz.
L'interprétation du diamagnétisme comme application de la loi de Lenz au niveau atomique et le
modèle du paramagnétisme de Langevin, tous deux étudiés dans nos premiers cycles (classes prépas
et universités) ont été élaborés par P. Langevin entre 1902 et 1905. La fameuse «fonction de
Langevin» date de 1905, année vers laquelle Paul Langevin obtient un poste de professeur
à l'EPCI, dont il deviendra directeur en 1925.
Langevin s'attachera à développer et à faire connaître la théorie de la relativité en France, ce qui était pouvait
être difficile dans le contexte historique de l'entre deux guerres. Son expérience par la pensée
des «jumeaux de Langevin» est restée célèbre. En retour il fera connaître la thèse
de L. de Broglie sur la dualité onde-corpuscule à Albert Einstein.
A partir de leur création en 1911, Paul Langevin participe aux Conseils Solvay dont il prendra la
présidence en 1928 à la mort de Lorentz.
Parallèlement à ses activités scientifiques, Paul Langevin a fait preuve d'un réel engagement
militant. Il fut dreyfusard dès 1898, participa à la Société des Nations après la Grande Guerre et
fut vice-président de la Ligue des Droits de l'Homme à partir de 1927 puis président de 1944 à sa
mort. Il participa à un comité de Vigilance des Intellectuels Antifascistes. Pendant la Deuxième
Guerre Mondiale il est résistant et sera emprisonné. Après la Libération il présidera un comité
concernant une réforme en profondeur de l'enseignement, le rapport rédigé par ce comité est connu
sous le nom «plan Langevin-Wallon»
Peut-être curieusement, Paul Langevin n'a pas été lauréat du Prix Nobel de physique. Décédé le
19 décembre 1946 à Paris, Paul Langevin repose depuis le 17 novembre 1948 au Panthéon.
Pourquoi un article sur Paul Langevin sur une page web dédiée à la physique amusante ? Simplement pour le plaisir de faire part aux internautes d'une petite découverte que j'ai faite dans un lot de livres destinés au pilon. Il s'agit d'un manuel d'électromagnétisme écrit par E. Mascart et J. Joubert, intitulé Leçons sur l'électricité et la magnétisme. L'ouvrage est la deuxième édition (1896) d'un cours en deux tomes (respectivement 838 et 917 pages).
Sur unes des premières pages du tome II, les lecteurs successifs ont apposé leurs noms et prénoms ainsi qu'une date. La première inscription est : «Paul Langevin, 1897», ce qui est cohérent avec une entrée de Langevin à l'Ecole Normale Supérieure en 1894 et une obtention de l'agrégation en 1897 (classé 1er). Paul Langevin a donc utilisé cet exemplaire du Mascart et Joubert lors de sa préparation de l'agrégation. Une version scannée de la page où Langevin a écrit son nom est disponible ici :
Langevin a eu E. Mascart comme maître, il en retracera la carrière dans un document (voir les références) où il évoque le Traité d'Electricité et de Magnétisme en ces termes :
Pour donner un très bref aperçu de ce qu'est un livre d'électromagnétisme à la fin du XIXe siècle, on reproduit ici quelques pages de l'exemplaire du Mascart et Joubert utilisé par P. Langevin. Voici d'abord les pages de garde :
|
|
puis la préface de E. Mascart :
|
|
|
le dessin d'un appareil aujourd'hui tombé en désuétude, l'électromètre capillaire :
|
Enfin le passage concernant le phénomène de Hertz (les ondes hertziennes) :
|
|
|
|
Je terminerai par une jolie citation de Langevin qu'on peut trouver à la fois dans l'article de l'Encyclopædia Universalis (Thesaurus) et dans le livre de Jean-Claude Boudenot :
Références
Bien que cela ne soit pas absolument évident de prime abord, la physique peut être
impliquée dans certaines pratiques artistiques ; et parfois même un sujet d'inspiration.
Cela a été le cas pour le compositeur contemporain
Philip Glass
qui a écrit
un morceau intitulé The Light à l'occasion du centième anniversaire de l'expérience
de Michelson et Morley (entre 1881 et 1887 Albert Michelson seul ou en collaboration
avec Edward Morley a mené des expériences d'interférométrie dont la très importante
conclusion est l'inexistence de l'éther. Ce résultat sera un des éléments qui
méneront Einstein à la relativité).
Philip Glass est également le créateur de l'opéra Einstein on the Beach ;
œuvre très novatrice qui a donné à son auteur
l'accès à une notoriété mondiale. Entre musique et science existent d'anciens et
importants échanges. En effet le travail de Joseph Fourier, largement inspiré par la
musique, représente un apport extrêment fertile en mathématique et physique. L'acoustique
est un domaine à part entière de la physique ; aujourd'hui les ordinateurs permettent
des simulations numériques du comportement de certains instruments de
musique. Ces simulations reposent sur la résolution d'équations différentielles issues de la
physique, ce procédé ne doit pas être confondu avec les opérations d'analyse et de synthèse
basées sur des transformations de Fourier.
En peinture, des mouvements comme L'Optical Art ont exploité les illusions
d'optique ; domaine à la croisée des chemins entre la physiologie et la physique.
Selon Robert A. Millikan (Prix Nobel de Physique en 1923) : «les physiciens sont plus intéressants que la physique», propos sans doute discutable mais qui souligne la richesse de l'aventure humaine qu'a été --et qu'est encore-- l'exploration des lois de la Nature. Ceci explique qu'un auteur dramatique comme Bertolt Bretch ait pu écrire une pièce de théâtre intitulé La vie de Galilée (Leben des Galilei) illustrant la lutte entre dogmatisme et vision éclairée du Monde. La rencontre à Copenhague en 1941 de Niels Bohr et Werner Heisenber est le sujet de la pièce de théâtre Copenhague de Michael Frayn, pour la première fois montée à Londres en 1998.
Ce texte joue sur les spéculations concernant ce qu'ont pu se dire ces deux géants de la physique contemporaine, dans le contexte dramatique de la Seconde Guerre Mondiale. L'Allemagne nazie avait en effet un programme nucléaire dans lequel Heisenberg était impliqué et où son attitude a toujours été très controversée.
Finalement, c'est peut être la courte vie du physicien italien Ettore Majorana qui a le plus stimulé les imaginations. Ettore Majorana fut un jeune et brillantissime physicien des particules, aussi talentueux que Galilée ou Newton selon Enrico Fermi. Entre les 26 et 27 mars 1938, lors d'une traversée en bateau entre Palerme et Naples, Ettore Majorana disparaît. Sa dépouille n'a jamais été retrouvée. Qu'est-il advenu du jeune physicien ? Bien que le suicide reste l'hypothèse la plus vraisemblable. En raison du contexte historique on ne peut en écarter d'autres comme l'enlévement ou l'assassinat. Le profil psychologique de Majorana ne permet pas d'exclure la fuite. Cette dernière possibilité a été exploitée dans le roman La disparition de Majorana (1975) de Leonardo Sciascia. La personnalité et le destin singuliers de Majorana ont été la source d'inspiration de nombreuses œuvres : La disparition de Majorana : une affaire d'état (1999) par Umberto Bartocci ; les pièces de théâtre Un jour de mars de Bruno Russo, les Variations Majorana de la compagnie Rosso Tiziano et Un physicien disparaît, le cas Majorana de la Compagnie Articulations. En 2004 Jordi Bonello propose un roman : La deuxième disparition de Majorana et en 2005 Etienne Klein consacre un chapitre entier au physicien dans son livre Il était sept fois la révolution.
La presse quotidienne cède elle aussi à la majoranomania : à l'occasion de la publication d'un article du physicien ukrainien Oleg Zaslavskii sur une très exotique «disparition quantique» de Majorana ; Edouard Launet du journal Libération consacre une double page à ce «Rimbaud de la physique».
On pourrait sans doute aller encore plus loin dans cette exploration des «interactions» entre physique et le domaine artistique. Mais il se fait tard ... Peut-on se demander encore si la physique elle-même, si ce n'est au moins certaines de ses théories les plus abouties, n'a pas sa place dans ces lieux de la création intellectuelle que sont les pratiques artistiques ? De Dirac à Einstein, en passant par Feynman, l'application de principes de symétrie a en effet un caractère esthétique indéniable. La Physique une œuvre d'art ?
Références
Observation expérimentale Après avoir été déformé certains matériaux retrouvent leur
forme initiale après avoir été chauffés. Cet «effet mémoire de forme» a été
découvert dans les années 30 sur des alliages. On distingue aujourd'hui plusieurs familles d'alliages
à mémoire de forme (AMF): les alliages nickel-titane, les cuivreux et les ferreux. Ces matériaux font
partie des matériaux dits «intelligents» comme les piézo-électriques, magnétostrictifs
ou électrostrictifs.
L'effet observé avec les alliages à mémoire de forme est dû à une transition de phase entre deux phases solides : la transition martensitique entre la phase austénitique (haute température) et martensitique (basse température).
Les application actuelles et à venir des matériaux à mémoire de forme sont très nombreuses : aéronautique, médecine (utilisation d'agrafes), dispositifs anti-sismique, lunetterie, etc.
La vidéo proposée ici montre une manipulation simple mais spectaculaire faite avec un fil d'alliage à mémoire de forme. Après déformation mécanique, le chauffage du fil permet de retrouver la forme initiale.
Références
En physique certaines simulations sont basées sur des méthodes de Monte-Carlo. Comme leur nom l'indique
ces méthodes utilisent des tirages au sort. Ceux-ci sont construits à partir de générateurs de nombres
pseudo-aléatoires qui sont des algorithmes mathématiques donnant
--à partir d'une «graine»--
une suite de nombres censés être aléatoires. Le principale problème de ces générateurs est leur
périodicité : au bout d'un certain nombre de tirages au sort ou retrouve la première valeur. On n'a donc
pas quelque chose de parfaitement aléatoire ! Bien sûr, plus la période du générateur est longue mieux
c'est. Il faut donc utiliser un générateur de période plus longue que le nombre total de tirages
nécessaires aux simulations qu'on désire réaliser.
Les meilleures sources de hasard sont celles faisant intervenir un phénomène physique stochastique : une source radioactive, le bruit dans une résistance électrique, l'enregistrement (par exemple sonore) d'un écoulement turbulent, etc. Ces sources physiques de hasard peuvent être facilement interfacées avec un ordinateur et fournir ainsi un bon générateur de nombres aléatoires aux programmes de simulation.
Un des programmes présents sur ce serveur (et accessible via le web) est un programme de simulation de population stellaire : à partir de résultats de calculs d'évolution stellaire de l'équipe de l'Observatoire de Teramo en Italie, le programme construit un ensemble (une population) d'étoiles, chacune étant représentée par des données qui pourraient être observées (magnitude, couleur, etc). Ceci en tenant compte de différent paramètre laissés au choix de l'utilisateur : composition chimique, erreurs expérimentales, ... De nombreux tirages au sort ont lieu : choix des étoiles binaires, valeurs de masses des étoiles, etc. Ce programme utilise un méthode de Monte-Carlo, pour initier (donner une première valeur) au générateur de nombre aléatoire, on télécharge deux nombres parfaitement aléatoires à partir d'un site qui est un serveur d'entropie : le serveur de ce site web calcule ses nombres aléatoires à partir du bruit électromagnétique.
Voici un exemple de sortie du programme de synthèse de population stellaire :
Les couleurs représentent des nombres d'étoiles. La quantité MV est la magnitude absolue (équivalente à la luminosité sur une échelle logarithmique) dans une bande spectrale donnée : ici la bande V, la différence de magnitude (B-V) est un indicateur de couleur pour l'objet (soit encore un indicateur de température de surface).
Références
... en vrac et pas toujours faciles ...
Quelles sont les deux équations présentes en filigrane dans la bannière de ce site ?
Pourquoi l'électron et le proton portent-ils en valeur absolue la même charge électrique ?
Les voyages dans le temps sont-ils compatibles avec l'existence de l'anti-matière ?
Quelle personne a dit à la fin du XIXe siècle :
«La physique est définitivement constituée dans ses concepts fondamentaux ; tout ce qu'elle peut désormais apporter, c'est la détermination précise de quelques décimales supplémentaires. Il y a bien deux petits problèmes : celui du résultat négatif de l'expérience de Michelson et celui du corps noir, mais ils seront rapidement résolus et n'altèrent en rien notre confiance ...» (1892)
«Les machines volantes plus lourdes que l'air sont impossibles» (1895)
«La radio n'a pas d'avenir» (1897)
«On prouvera que les rayons X sont une supercherie.» (1900)
... même un grand physicien (cité sur cette page web) ne devrait pas se dispenser d'un peu de modestie, de retenue, de doute ... Les curieux peuvent aller faire un petit tour sur cette page.
| Daniel Cordier, Laboratoire GSMA - Université de Reims, |
|||||
|---|---|---|---|---|---|